Monday, March 14, 2022

JNTUH B.Tech ic applications November/December - 2017 Question Paper

      



JNTUH Old Question Papers / Previous Years Question Papers / Past Question Papers





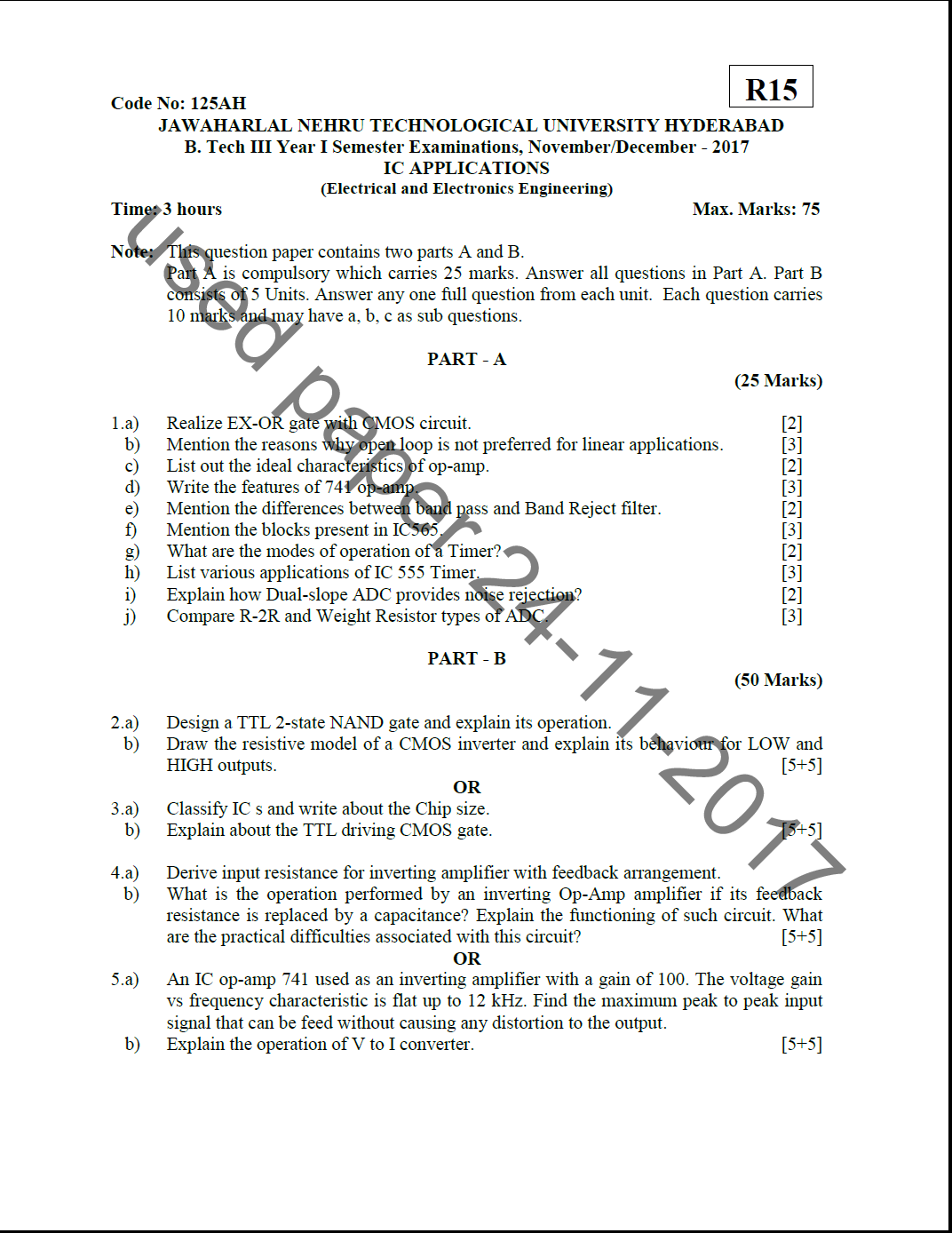
Code No:125AH

JAWAHARLAL NEHRU TECHNOLOGICAL UNIVERSITY, HYDERABAD 

















B. Tech III Year I Semester Examinations, November/December - 2017

IC APPLICATIONS

(Electrical and Electronics Engineering)





Time: 3 hours                                                                                                              Max. Marks: 75






































Attachments in Scanned Copies (Images):























Share This
Previous Post
Next Post

B.E Civil Engineer Graduated from Government College of Engineering Tirunelveli in the year 2016. She has developed this website for the welfare of students community not only for students under Anna University Chennai, but for all universities located in India. That's why her website is named as www.IndianUniversityQuestionPapers.com . If you don't find any study materials that you are looking for, you may intimate her through contact page of this website to know her so that it will be useful for providing them as early as possible. You can also share your own study materials and it can be published in this website after verification and reviewing. Thank you!

0 comments:

Pen down your valuable important comments below

Search Everything Here